重庆招生信息网
真实、免费、海量的招生教育信息平台
简版首页
·
高级搜索
·
新手上路
·
找回密码
用户名:
密码:
验证码:
大专招生
重大成教
园林专业
会计
本科
网教
教师证
IT类
四川大学
西南成教
中职招生
美术设计
职高服装
护理
建筑
物流
五大员
市重点
宗申技校
酒店管理
网站首页
学历教育
技能教育
资格认证
文体艺术
考试培训
高考频道
就业指导
招聘求职
红人资讯
发布信息
高级搜索
|
学校搜索
|
课程搜索
|
职位搜索
|
搜索帮助
培训课程
培训单位
新闻资讯
教育培训
培训学校
技能培训
培训网
电脑培训
英语培训
厨师培训
职业培训
预算员培训
建造师培训
建造师挂靠
会计培训
您的位置:
重庆招生信息网
>
资讯中心
>
高考频道
>
录取进程
招聘/求职资讯
|
教育资讯
|
校园生活
|
出国咨询
|
大学生就业专区
|
高考频道
|
考试中心
|
考研频道
|
证书吧
|
项目交流
|
职业规划
|
培训信息
|
其他资讯
|
本站公告
|
转 发
收 藏
打 印
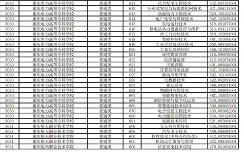
重庆2025年高职分类考试高职专科批招生录取信息表
重庆2025年高职分类考试高职专科批招生录取信息表
发布时间:2025/4/14 11:00:43 | 人感兴趣 | 评分:3
据重庆招考网公布关于2025年度普通高职分类考试(高职专科批批)招生信息已公布,具体如下:
(点击可查看大图)
分享给同学:
转发至QQ空间
新浪微博
腾讯微博
人人网
作者:佚名 来源:重庆招考 编辑:
hr2s
【
评论
】【
收藏
】【
关闭窗口
】【字体:
大
中
小
】
上一篇:
重庆2025年高职分类考试(专本贯通批)第二次招生录取信息表
下一篇:
重庆2025年高职分类考试(高职对口专科批)招生录取信息
所有评论
验证码:
匿名发表
推荐课程
2023年重庆建筑八大员考试培训课程
2023年消防设施操作员培训火热招生中
2022年重庆经贸管理学院远程教育招生简
重庆2023二级建造师考前培训|正在招生
重庆优路2022年一级建造师培训课程
重庆邮电大学成人教育招生简章通信工程
重庆风景园林学校园林绿化专业招生
2021年西南科技大学网络教育春季招生开
2021国家开放大学网教高起专、本科开始
2021年四川农业大学网络教育春季招生
推荐阅读排行
考生注意:重庆市2026年上半年自考报名时间确定了
重庆2026年全国硕士研究生招生考试(初试)成绩查询时间公布
2026年专业技术人员职业资格考试时间安排
高校毕业生,这些档案知识你一定要知道
关于做好2026年同等学力人员申请硕士学位外国语水平和学科综合水平全国统一考试工作通知
教育部发布关于2026年普通高校招生工作的通知
水利工程质量检测员资格考试实施办法全文
时间定了!今年高考全国统考将于6月7日、8日举行
自考英语和学位英语有何区别?别弄混了!
四川2026年高职单招志愿填报与录取时间安排
重庆2026年上半年高等教育自学考试报名时间及须知
重庆2026年普通高等学校招生艺术类各科类校考资格分数线公布
什么叫专衔本?国家承认学历吗?
如何获得学费补贴
2014重庆降分录取学校一专二专|2014重庆降分录取专业
2024年体育类专业统考考试成绩查询入口
2013重庆文科二本大学在重庆录取分数线(二)
重庆适合初中毕业女生读的最全专业及中职学校推荐